¡Ponte en contacto ahora!        +86-15655577781        info@zfymachine.com
NOTICIAS
Suscríbete para más actualizaciones
Hogar » Noticias » La guía definitiva para el factor K, el margen de flexión y la deducción de flexión

La guía definitiva para el factor K, el margen de flexión y la deducción de flexión

Vistas:353     Autor:Editor del sitio     Hora de publicación: 2023-08-25      Origen:Sitio

facebook sharing button
twitter sharing button
line sharing button
wechat sharing button
linkedin sharing button
pinterest sharing button
whatsapp sharing button
sharethis sharing button




En el pasado, los trabajadores de chapa utilizaban su propia experiencia en doblado para desarrollar dibujos de chapa CAD, exportar formato DXF y doblar directamente láminas de metal en el formato. Presiona el freno para obtener el conformado de piezas de chapa.Sin embargo, con la aplicación del software Solidworks en la industria del doblado de chapa y los altos requisitos de precisión de la pieza de trabajo doblada, se debe tener en cuenta la compresión y el estiramiento de la hoja durante el doblado.


Este artículo aclarará la influencia de los factores de flexión y, combinado con casos prácticos, a través de la lectura le ayudará a mejorar la capacidad de cálculo de flexión.




¿Qué es el factor K?



De hecho, el factor K en sí no existe.Debido a la aparición del concepto de eje neutro, se establece un valor para representar la posición del eje neutro, llamado factor K.Es un tipo de factor de flexión en el plegado de chapa, que afecta principalmente a la ductilidad del plegado de chapa.


Durante el proceso de flexión, la capa exterior recibe tensión de tracción mientras que la capa interior recibe tensión de compresión.Hay una capa de transición entre las capas exterior e interior que no es tensión de tracción ni de compresión, y es el eje neutro.


En cuanto a la chapa metálica, el eje neutro siempre está equilibrado entre las superficies interior y exterior durante la flexión y no se comprime ni se estira, por lo que se calcula que la longitud del eje neutro es igual a la longitud de la dimensión desplegada de la chapa final. .



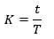
Cálculo del factor k de flexión



La posición del eje neutro varía según las propiedades físicas del material, y aquí es donde entra en juego el factor K. El factor K es la relación entre la posición del eje neutro (t) y el espesor (T).Por tanto, el factor K es siempre menor que 1 y mayor que 0.



factor k


K=t/T



También existe un patrón de variación entre el factor K y el eje neutro:


1. Incluso para el mismo material, el factor K en el procesamiento real no es fijo y el valor específico está influenciado por la tecnología de procesamiento;


2. En general, para el mismo proceso de plegado, cuanto más blando sea el material de chapa, menor será el factor K y mayor será el desplazamiento de la capa neutra hacia el interior del plegado.



Cuando desee obtener rápidamente un factor K casi preciso, consulte la siguiente tabla:

tabla de coeficientes del factor k

(tabla de coeficientes del factor k)





¿Qué es el margen de curvatura?



El margen de curvatura es la longitud del eje neutro después del despliegue.El margen de curvatura también es uno de los valores utilizados para calcular la longitud final de la hoja.



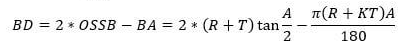
Deducción por flexión


El margen de flexión se calcula de la siguiente manera:


Cálculo de la deducción por flexión


Fórmula de longitud final de la hoja:


Longitud de pierna 2+ Margen de curvatura + Longitud de pierna 1



Para ayudarle a comprender mejor, tomemos un ejemplo:


Cuando la longitud de una pata es de 20 mm, la otra pata es de 70 mm, el ángulo de flexión es de 90°, el espesor de la lámina de acero es de 5 mm y el radio es de 6 mm, calcule la longitud final de la lámina. El procedimiento de cálculo es el siguiente:

Pata 1= 20mm

Pata 2= 70mm

A = 90 grados

R= 6mm

K= 0,45 (seleccionado según la tabla del factor K anterior)

T = 5 mm

Π se aproxima a 3,14

BA= 3,14×[6+(0,45×5)]×90/180 = 12,95 mm

Por tanto, la longitud final de la chapa de acero L= 20+70+12,95=102,95mm




¿Qué es la deducción por curva?



La deducción por flexión es la longitud final de la hoja menos la longitud de la pieza calculada dos veces.



Deducción por curvatura


La forma de calcular la deducción por flexión es muy común en la fabricación de chapa, principalmente de las siguientes maneras:


1. Chapa de acero con 1,7 veces de espesor.

Los trabajadores de chapa de metal generalmente utilizaron 1,7 veces el espesor de la placa de acero como deducción por flexión, lo cual es uno de los métodos de cálculo más simples, pero no lo suficientemente preciso.El multiplicador es diferente para diferentes materiales, como la lámina de aluminio se calcula en 1,6 veces el espesor y la lámina de acero inoxidable se calcula en 1,8 veces el espesor.


2. (2 × espesor) + (espesor / 3)

Esta fórmula de cálculo es el trabajo de chapa después de un largo período de resumen, pero también un método de cálculo aproximado.Su fórmula consiste en calcular la longitud de la línea recta más corta y sumar el factor de estiramiento para que la chapa se estire al doblarla.


3. 2x espesor - (0,72t - 0,075V - 0,01)

Esta fórmula se origina a partir de la derivación en el artículo.Se caracteriza por la consideración del efecto del ancho del troquel inferior de flexión sobre la deducción de flexión.Dado que los datos de las pruebas se basan en experimentos con láminas de acero al carbono, los resultados para otros materiales no son estables.

t= Espesor de la lámina

V= Ancho del canal del troquel inferior


4. Fórmula de cálculo de la deducción por flexión

Cálculo de la deducción por flexión

La fórmula se basa en la teoría del eje neutro y tiene una alta precisión.




Conclusión


El factor K, el margen de curvatura y la deducción de curvatura son útiles para resolver el problema de calcular la longitud final de la lámina en el procesamiento real de láminas de metal, para obtener la longitud exacta del material preparado en estado desplegado y reducir en gran medida el desperdicio de láminas de metal. materiales.


Además, otros factores que afectan la forma de plegado final también incluyen la prensa plegadora.Una plegadora excepcional puede garantizar la estabilidad y precisión de otros factores en el proceso de plegado. ZFY se compromete a proporcionar soluciones de maquinaria de chapa metálica de alta gama desde 1995, puede conocer la maquinaria de chapa metálica que necesita en nuestro catalogo.


Determinar la longitud exacta de despliegue de la chapa a través del factor de flexión es el primero y más importante del trabajo de flexión, por supuesto, esto no significa que sea absoluto, existen diferentes variaciones en diferentes entornos de procesamiento de chapa, por lo que se acumula experiencia práctica en el procesamiento de chapa y Los casos de aplicación de factores de flexión pueden beneficiar mejor su trabajo de flexión.




Parque industrial de alta tecnología Bowang District Ma'anshan, Anhui, China

+86-555-6761960
+86-15655577781

categoria de producto

Plan de actualización

Medición del ángulo de flexión

Boletin informativo

Únase a nuestro boletín y reciba ofertas exclusivas, actualizaciones y ZFY noticias.

Deje mensaje
CONTÁCTENOS

Copyright 2018 | All Rights Reserved | ZFY | Sitemap.| Privacy Policy